Termodinâmica
Borges e Nicolau
Exercício 1)
Clique para ampliar
Exercício 2)
Clique para ampliar
Exercício 3)
a) No processo (1) é maior o trabalho realizado pelo gás, pois corresponde à maior área.
b) A variação da energia interna entre os estados A e B não depende do processo utilizado. Depende dos estados inicial e final.
Exercício 4)
a) Isotérmica: Q = τ
b) Isométrica: ΔU = Q 
c) Adiabática: ΔU = - τExercício 5)
Clique para ampliar
Exercício 6)
O meio exterior realiza trabalho sobre o gás. Sendo a transformação isotérmica (ΔU =0), concluímos que o gás cede calor ao meio exterior igual ao trabalho realizado.
Cede calor ao meio exterior: Q = - 800 J e o meio exterior realiza trabalho sobre o gás: τ = -800 J.Exercício 7)
Clique para ampliar
Exercício 8)
Cede calor às custas da diminuição da energia interna
(Q<0 e ΔU<0)
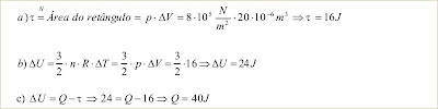
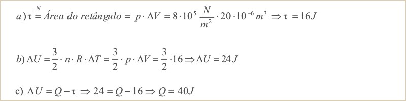
Exercício 9)
Clique para ampliar
O gás recebe 40J de calor, realiza sobre o meio exterior um trabalho de 16 J 
e sua energia interna aumenta de 24 J.
Exercício 10)
a) No processo AB o volume diminui e portanto o meio exterior realiza trabalho sobre o gás:
Clique para ampliar
b) τBC = 0 (transformação isométrica)
c)
Clique para ampliar
No processo ABC o meio exterior realizou sobre o gás um trabalho
de 9 . 103 J; sua energia interna diminuiu de 9 . 103 J e o gás cedeu ao meio exterior 18 . 103 J de calor.
Exercício 11)
a) Q = 0
b) ΔU = -τ => ΔU = -100 J
A energia interna diminui
c) A temperatura diminui
Exercício 12)
a) Q = 0
b) ΔU = -τ => ΔU = -(-100) J => ΔU = 100 J
A energia interna aumenta
c) A temperatura aumenta
de 9 . 103 J; sua energia interna diminuiu de 9 . 103 J e o gás cedeu ao meio exterior 18 . 103 J de calor.
Exercício 11)
a) Q = 0
b) ΔU = -τ => ΔU = -100 J
A energia interna diminui
c) A temperatura diminui
Exercício 12)
a) Q = 0
b) ΔU = -τ => ΔU = -(-100) J => ΔU = 100 J
A energia interna aumenta
c) A temperatura aumenta







 
Muuto bom esse material , tem me ajudando muito em meus estudos.
ResponderExcluir